ID
206
Data Type
Linked List
Difficulty
Easy
Tags
In-place Reversal
Completed Date
May 9, 2024
Preference
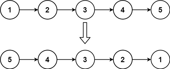
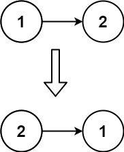
Given the
head
of a singly linked list, reverse the list, and return the reversed list.Example 1:

Example 2:

Example 3:
Constraints:
- The number of nodes in the list is the range
[0, 5000]
.
5000 <= Node.val <= 5000
Follow up: A linked list can be reversed either iteratively or recursively. Could you implement both?
跟进: 链接列表可以迭代或递归地反转。你能同时实现这两种方法吗?
题解
关键点是建立虚拟头